Here natural convection is explored experimentally in a quasi-2D environment. The researchers demonstrate how this phenomenon, which is much like that seen in a boiling pot, can be investigated by measuring the refractive distortions caused by the thin heated fluid layer. They also demonstrate types of boiling that can occur. Typically, bubbles nucleate at the heated surface and then rise to pull hot fluid with them. At high enough temperatures above the liquid’s boiling point, however, an unstable layer of vapor can form over the heated surface. This “boiling crisis” or critical heat flux produces a marked reduction in heat transfer due to the insulation provided by the vapor layer. (Video credit: S. Wildeman et al.)
Search results for: “convection”

Titan’s Vortex
The timelapse animation above shows a swirling vortex above the south pole of Saturn’s moon Titan. It completes a full rotation in about nine hours, significantly quicker than the 16-day rotation of the moon. The vortex appears to demonstrate open cell convection, in which air sinks at the center of the cell and and rises at the edges to form clouds along the cell edges. For the most part the dense haze of Titan’s atmosphere prevents scientists from seeing what goes on beneath the clouds, but Titan is thought to have weather cycles similar to Earth’s, except featuring methane rather than water. (Photo credit: NASA, Cassini; submitted by Adam L)
ETA: This theme sometimes dislikes displaying .GIF images. If you don’t see the animation, click here.

The Cloud Bands of Jupiter
The cloud bands of Jupiter stripe the planet with turbulence. Throughout its upper atmosphere, Jupiter shows signs of gravity waves and complicated wave patterns. Near the equator, the cloud bands are driven by planetary winds that reach speeds of 500 kph, whereas near the poles, the clouds show greater evidence of mottling and convection. At present, the reasons for this patterning are undetermined. (Image Credit: NASA; via APOD)

Convective Cells
Convective cells form as fluid is heated from below. As the fluid near the bottom warms, its density decreases and buoyancy causes it to rise while cooler fluid descends to replace it. This fluid motion due to temperature gradients is called Rayleigh-Benard convection and the cells in which the motion occurs are called Benard cells. This particular type of convection is essentially what happens when a pot is placed on a hot stove, so the shapes are familiar. Similar shapes also form on the sun’s photosphere, where they are called granules.

Science Off the Sphere: Liquid Lenses
Astronaut Don Pettit delivers more “Science Off The Sphere” in his latest video. Here he demonstrates diffusion and convection in a two-dimensional water film in microgravity. He notes that the viscous damping in the water is relatively low and that, left undisturbed, mixing in the film will continue for 5-10 minutes before coming to rest, which tells us that the Reynolds numbers of the flow are reasonably large. The structures formed are also intriguing; he notes that drops mix with mushroom-like shapes that are reminiscent of Rayleigh-Taylor instabilities and cross-sectional views of vortex rings. It would be interesting to compare experiments from the International Space Station with earthbound simulations of two-dimensional mixing and turbulence, given that the latter behaves so differently in 2D.

Science off the Sphere: Thin Films
Stuck here on Earth, it’s hard to know sometimes how greatly gravity affects the behavior of fluids. Fortunately, astronaut Don Pettit enjoys spending his free time on the International Space Station playing with physics. In his latest video, he shows some awesome examples of what is possible with a thin film of water–not a soap film like we make here on Earth–in microgravity. He demonstrates vibrational modes, droplet collision and coalescence, and some fascinating examples of Marangoni convection.

Stirred Up Sediment
Swirls of blue in the Great Lakes mark locations of recent autumn storms whose winds have stirred up sediment in the lakes. The silt and quartz sand acts as a tracer particle, making visible the circulation patterns of the lakes. In contrast, the green streaks mark locations of calmer winds and warmer temperatures where algae blooms have grown. Note the fundamental dissimilarity in their structures. Blue eddies turn over and mix in a fashion reminiscent of convective instabilities while the green blooms are far more uniform in structure. #
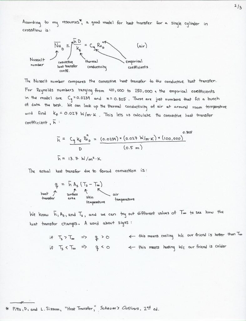
Reader Question: How Hot Can It Be Before a Fan Stops Cooling You?
lazenby asks:
This isn’t strictly a dynamics question, but I was wondering how hot a stream of fluid has to be before it can no longer lower the average temperature of a body placed in its flow. As an example, how hot a day does it have to be before fans stop cooling you down? What’s the relation and the math to reach for here?
Wonder no further! You seek the subject of heat transfer–specifically forced convection. Here’s a brief look at how to calculate the cooling due to a fan. Click to enlarge each page.



Cloud Streets
Cloud streets–long rows of counter-rotating air parallel to the ground in the planetary boundary layer–are thought to form as a result of cold air blowing over warm waters while caught beneath a warmer layer of air, a temperature inversion. As moisture evaporates from the warmer water, it creates thermal updrafts that rise through the atmosphere until they hit the temperature inversion. With nowhere to go, the warmer air tends to lose its heat to the surroundings and sink back down, creating a roll-like convective cell. (Photo credits: NASA Terra, NASA Aqua, and Tatiana Gerus)

Un-Mixing a Fluid Demo
Not only is this demonstration one of my favorites, it’s a reader favorite, too. Even though I posted it nearly a year ago, I’ve had it resubmitted over and over. Here’s what I originally wrote:
Laminar flow (as opposed to turbulence) has the interesting property of reversibility. In this video, physicists demonstrate how flow between concentric cylinders can be reversed such that the initial fluid state is obtained (to within the limits of molecular diffusion, of course!)
For more examples, see the first half of this video.
The results of those videos might be surprising, but they highlight the difference between laminar flow and turbulence. In laminar flow, the motion of the dye is caused by molecular diffusion and momentum diffusion, the latter of which is exactly reversible. In turbulence, much of the fluid motion is tied up in momentum convection, which is irreversible. This is why you can “unstir” the glycerin but not the milk in your coffee.


